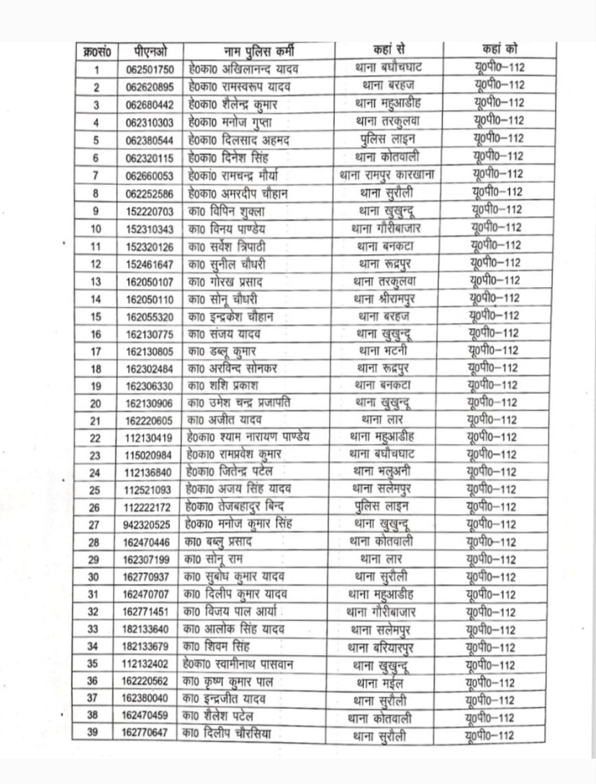
देर रात मुख्य आरक्षी एवं आरक्षीगण के विभिन्न थानों से डायल -112 में स्थानान्तरण
देर रात मुख्य आरक्षी एवं आरक्षीगण के विभिन्न थानों से डायल -112 में स्थानान्तरण
देवरिया। पुलिस अधीक्षक विक्रांत वीर ने जिले में देर रात करीब साढ़े 12 बजे मुख्य आरक्षी एवं आरक्षीगणों के विभिन्न थानों से डायल -112 में स्थानान्तरण की लिस्ट जारी होते ही हड़कंप मच गया।
आपको बता दें कि इस लिस्ट में कुल मिला के 69 लोग है जिनका फेर बदल करते हुए सभी को 112 में नई तैनाती दे दी देर रात हुए इस फेरबदल से पूरे विभाग में हड़कंप मचा हुआ है।
वहीं पुलिस लाईन से 11उप निरीक्षकों को अलग अलग थाने में भेजा गया है तो यूपी 112 में तैनात 13 उप निरीक्षको को अलग अलग थाने में तैनाती मिली है।
आप भी देखे लिस्ट किसकी किसकी हुई 112 में हुई तैनाती?
